呼吸机相关性肺炎(ventilator associated pneumonia, VAP)是指气管插管或气管切开患者机械通气48 h后发生的肺部感染[1]。VAP是重症医学科(intensive care unit, ICU)最常见的院内感染, 显著增加ICU患者的机械通气时间、住院时间和病死率, 因此寻找能够早期评估VAP患者预后的临床指标至关重要[2]。髓样细胞可溶性触发受体-1(soluble triggering receptor expressed on myeloid cells-1, sTREM-1)是近年发现的炎症标志物, 近期研究表明其有助于肺部感染、腹腔感染等感染性疾病的诊断和预后评估, 但sTREM-1对VAP患者预后判断价值有待于进一步研究[3]。因此, 本研究拟探讨血清sTREM-1在VAP患者预后评估中的意义。
1 资料与方法 1.1 一般资料选取2013年6月至2015年5月南京医科大学附属无锡人民医院ICU收治的符合VAP诊断标准的患者103例。排除标准:(1)年龄 < 18岁或 > 75岁或妊娠患者; (2)入ICU前已存在明确肺部感染、VAP、肺部肿瘤或甲状腺癌患者; (3)疾病终末期或放弃进一步治疗患者。本研究方案经南京医科大学附属无锡人民医院伦理委员会审批通过, 患者或家属签署知情同意书。
1.2 VAP的诊断标准依据2013年中华医学会重症医学分会制定的《呼吸机相关性肺炎预防、诊断和治疗指南》。VAP临床诊断标准:有创机械通气48 h以上或撤机、拔管后48 h以内胸部X线可见新发或进展性浸润阴影, 并同时满足下列至少2项:(1)体温 > 38 ℃或 < 36 ℃; (2)外周血白细胞计数 > 10×109/L或 < 4×109/L; (3)气管支气管内出现脓性分泌物[4]。
1.3 血清sTREM-1、降钙素原(procalcitonin, PCT)及全血C反应蛋白(C-reactive protein, CRP)检测方法留取患者确诊VAP后24 h内静脉血5 mL并高速(3 000 r/min)离心15 min后分离血清, 放置-80 ℃冰箱中低温保存[5]。采用sTREM-1及PCT酶联免疫反应(ELISA)检测试剂盒(美国R & D公司)批量测定血清中sTREM-1和PCT水平, 检测方法严格按试剂盒说明书进行。全血CRP检测采用Pentra MS全自动血细胞分析仪(法国HORIBA公司), 动脉血气分析采用GEM Premier3000全自动血气分析仪(美国Instrumentation Laboratory公司)。
1.4 临床资料收集收集患者年龄、性别、原发疾病、基础疾病等情况; 记录确诊VAP后24 h内平均动脉压(MAP)、动脉血气分析指标[pH值、血乳酸(Lac)、氧分压(PaO2)、二氧化碳分压(PaCO2)]、机械通气参数[潮气量(Vt)、呼气末正压(PEEP)、气道平台压(Pplat)]、血清sTREM-1及PCT水平、全血CRP水平, 并计算确诊当天的临床肺部感染评分(clinical pulmonary infection score, CPIS)、急性生理和慢性健康评分Ⅱ(APACHEⅡ) [6]; 统计确诊VAP后28 d内机械通气时间、28 d病死率等指标。
1.5 患者分组标准依据确诊VAP 28 d后患者的存活情况分为存活组和病死组。
1.6 统计学方法采用SPSS 16.0统计学软件进行数据分析。计量资料若服从正态分布则以均数±标准差(x±s)表示, 两组间比较采用独立样本t检验; 计量资料若服从偏态分布则用中位数(四分位间距)[M(P25, P75)]表示, 两组间比较用秩和检验; 计数资料的构成差异进行χ2检验或Fisher精确概率法。采用ROC曲线分析相关指标对患者预后的预测价值, Kaplan-Meier法绘制患者生存曲线, 多因素Logistic回归分析影响患者预后的危险因素。以P < 0.05为差异有统计学意义。
2 结果 2.1 患者基本情况共纳入103例患者, 其中男54例, 女49例, 年龄(47.37±14.93)岁。原发病来源外科术后47例, 脑血管及神经系统病变37例, 心肺复苏后10例, 其他9例。所有患者入组时CPIS评分(5.69±2.92), APACHEⅡ评分(17.82±3.34)。28 d机械通气中位时间为12.39(8.91, 18.67)d, 28 d病死率26.21%。
2.2 存活组与病死组患者基本资料和临床指标比较存活组76例, 病死组27例。两组患者的年龄、性别构成、原发病及基础疾病情况差异无统计学意义(均P>0.05)。VAP确诊24 h内MAP、动脉血气分析指标(pH值、Lac、PaO2、PaCO2)、呼吸机参数(Vt、PEEP、Pplat)、全血CRP等均差异无统计学意义(均P>0.05)。与存活组比较, 病死组机械通气时间更长, 血清sTREM-1、PCT水平更高, CPIS评分及APACHEⅡ评分也更高, 其差异有统计学意义(均P < 0.05), 见表 1。
| 指标 | 存活组(n=76) | 病死组(n=27) | t/χ2/Z值 | P值 |
| 年龄(岁) | 46.81±15.83 | 49.04±11.98 | 0.64 | 0.51 |
| 性别[男/女, (例, %)] | 39(51.31)/37(48.69) | 15(55.56)/12(44.44) | 1.02 | 0.49 |
| 原发疾病(例, %) | 76(100) | 27(100) | ||
| 外科术后 | 33(43.42) | 14(51.85) | 2.59 | 0.11 |
| 脑血管及神经系统病变 | 30(39.47) | 7(25.93) | 2.93 | 0.09 |
| 心肺复苏后 | 6(7.89) | 4(14.81) | 1.45 | 0.29 |
| 其他 | 7(9.22) | 2(7.41) | 1.26 | 0.38 |
| 基础疾病(例, %) | ||||
| 糖尿病 | 12(15.79) | 4(14.81) | 0.001 | 0.97 |
| 高血压 | 7(9.21) | 3(11.11) | 0.26 | 0.85 |
| 慢性阻塞性肺疾病 | 6(7.89) | 2(7.40) | 0.75 | 0.62 |
| 慢性肾功能不全 | 3(3.95) | 2(7.40) | 0.58 | 0.70 |
| MAP(mmHg) | 69.25±20.33 | 73.44±13.85 | 0.01 | 0.96 |
| 动脉血气分析指标 | ||||
| pH值 | 7.31±0.25 | 7.30±0.32 | 1.13 | 0.28 |
| Lac(mmol/L) [M(P25, P75)] | 3.02(1.42, 4.55) | 4.43(1.87, 6.01) | 0.63 | 0.32 |
| PaO2(mmHg) | 86.97±24.85 | 77.99±34.87 | 0.74 | 0.47 |
| PaCO2(mmHg) | 38.58±9.67 | 43.21±19.19 | 0.13 | 0.77 |
| 呼吸机参数 | ||||
| Vt(mL/kg) | 7.33±2.91 | 6.89±2.48 | 0.74 | 0.47 |
| PEEP(cmH2O) | 5.42±1.68 | 5.15±2.78 | 0.03 | 0.85 |
| Pplat(cmH2O) | 21.55±4.61 | 23.32±7.84 | 0.55 | 0.56 |
| 机械通气时间(d)[M(P25, P75)] | 9.87(7.08, 15.38) | 14.55(10.69, 20.41) | 3.08 | < 0.01 |
| sTREM-1(pg/mL) | 54.09±12.71 | 89.50±18.45 | 2.63 | 0.01 |
| PCT(pg/mL) | 579.81±193.45 | 823.86±182.74 | 2.24 | 0.03 |
| CRP(mg/L) | 91.48±26.79 | 104.79±25.58 | 0.29 | 0.69 |
| CPIS评分 | 4.79±1.93 | 7.20±1.74 | 2.36 | 0.02 |
| APACHEⅡ评分 | 17.23±3.12 | 19.58±3.43 | 2.87 | < 0.01 |
| 注:a除特别注明外均以(x±s)表示, 1 cmH2O =0.098 kPa, 1 mmHg=0.133 kPa | ||||
sTREM-1预测患者28 d死亡的ROC曲线下面积为0.84±0.04, 以75.00 pg/mL为最佳界值, 灵敏度和特异度分别为76.47%和74.29%;PCT预测患者28 d死亡的ROC曲线下面积为0.65±0.05, 以680.00 pg/mL为最佳界值, 88.24%和35.71%;CPIS评分预测患者28 d死亡的ROC曲线下面积为0.67±0.06, 以6.0为最佳界值, 灵敏度和特异度分别为70.59%和61.43%;APACHEⅡ评分预测患者28 d死亡的ROC曲线下面积为0.79±0.04, 以19.0为最佳界值, 灵敏度和特异度分别为64.71%和82.86%, 见图 1、表 2。
|
| 图 1 sTREM-1、PCT、CPIS评分及APACHEⅡ评分预测患者28 d死亡的ROC曲线 Figure 1 ROC curves of sTREM-1, PCT, CPIS and APACHEⅡfor predicting 28 d death |
|
|
| 指标 | AUC | 标准误 | 95%CI | P值 | 最佳界值 | 灵敏度(%) | 特异度(%) |
| sTREM-1 | 0.84 | 0.04 | 0.75-0.92 | < 0.01 | 75.00(pg/mL) | 76.47 | 74.29 |
| PCT | 0.65 | 0.05 | 0.55-0.74 | 0.49 | 680.00(pg/mL) | 88.24 | 35.71 |
| CPIS评分 | 0.67 | 0.06 | 0.55-0.79 | < 0.01 | 6.0 | 70.59 | 61.43 |
| APACHEⅡ评分 | 0.79 | 0.04 | 0.70-0.87 | 0.03 | 19.0 | 64.71 | 82.86 |
| 注:AUC为ROC曲线下面积 | |||||||
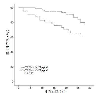
sTREM-1 < 75.00 pg/mL患者28 d累计生存率显著高于sTREM-1≥75.00 pg/mL患者(82.5% vs. 63.4%, χ2=3.96, P < 0.05), 见图 2。
|
| 图 2 依据sTREM-1最佳界值分组患者28 d生存率比较 Figure 2 The differences in 28 d survival rate between groups divided by best cutoff value of sTREM-1 |
|
|
单因素分析影响患者死亡的危险因素包括机械通气时间、sTREM-1、PCT、CPIS评分及APACHEⅡ评分。多因素Logistic回归分析显示sTREM-1及APACHEⅡ评分均是患者28 d死亡的独立危险因素, 见表 3。
| 指标 | B值 | Wald值 | OR值 | 95%CI | P值 |
| 机械通气时间 | 1.20 | 1.23 | 3.33 | 0.39~27.90 | 0.27 |
| sTREM-1 | 0.08 | 12.89 | 1.08 | 1.04~1.13 | < 0.01 |
| PCT | 0.004 | 0.05 | 1.00 | 0.97~1.04 | 0.82 |
| CPIS评分 | 1.46 | 1.29 | 0.86 | 0.67~1.11 | 0.26 |
| APACHEⅡ评分 | 0.33 | 11.66 | 1.39 | 1.15~1.67 | < 0.01 |
| 注:B回归系数, OR为比值比 | |||||
由于人工气道破坏了正常的呼吸系统防御机制, 加之重症患者免疫功能异常, 使得VAP成为ICU机械通气患者最常见、最严重的医院获得性感染[7]。近年来随着VAP集束化预防措施的推广, VAP的发病率有所降低, 但其病死率仍高达20%~50%, 因此寻找能够早期评估患者预后的指标有助于指导VAP治疗[8]。现有文献提示多种临床指标及生物标记物可能有助于判断VAP病情及预后, 但均存在使用繁琐(如CPIS评分、APACHEⅡ评分等)灵敏度或特异性不高(如IL-6、PCT、CRP等)或无法早期评估预后[如人白细胞抗原DR(HLA-DR)、高迁移率族蛋白1(HMGB1)等]等缺陷[9]。因此寻找能够早期、简便、准确评估VAP预后的指标至关重要, 而新型炎症标志物sTREM-1则具有很大的潜力。
髓样细胞触发受体-1(TREM-1)属于免疫球蛋白超家族的模式识别受体, 以跨膜糖蛋白的形式选择性表达于中性粒细胞、单核及巨噬细胞表面, 可识别并特异性结合病原微生物, 进而激发和放大炎症反应[10]。sTREM-1是TREM-1的分泌亚型, 感染过程中sTREM-1可早期大量释放入血, 因而可作为感染性疾病早期诊断、病情评估及预后判断的可靠指标[11]。目前研究已证明sTREM-1可作为VAP早期诊断和病情评估的敏感标志物, 如周超等研究表明机械通气第3天血清sTREM-1 4.7 ng/mL诊断VAP的灵敏度和特异度分别为95.8%及92.3%, 但其在VAP预后判断中的作用仍有待进一步探讨[12]。
本研究发现病死组机械通气时间较存活组更长, 确诊当天CPIS评分、APACHEⅡ、血清sTREM-1、PCT水平也更高, 但机械通气参数、血气分析指标及CRP等差异无统计学意义。这一结果不难解释, 病死组的肺部病变及整体病情更重, 相对特异的炎症指标sTREM-1、PCT更高, 但CRP因影响因素众多而差异无统计学意义。这也与既往研究相似, 如刘杜姣等[13]发现下呼吸道感染患者入院24 h血清sTREM-1水平高于非感染组, 但CRP差异无统计学意义。
本研究发现确诊24 h内sTREM-1、PCT、CPIS评分及APACHEⅡ评分均可用于评估VAP患者28 d预后, 但sTREM-1预测28 d预后ROC曲线下面积为0.84, 较PCT、CPIS评分及APACHEⅡ评分预测效能更高, 这与既往研究相似, 如潘定康等[14]研究表明血清sTREM-1预测重症脓毒症患者28 d死亡的ROC曲线下面积为0.77, 高于APACHEⅡ评分及PCT的预测效能。值得关注的是, 既往研究多考察的是起病2~4 d sTREM-1对炎性疾病预后判断价值, 但sTREM-1、PCT及CRP均为早期炎症标志物, 其血浓度高峰均出现于炎症起病24 h以内, 故本研究考察了确诊24 h内sTREM-1对VAP预后的预测价值, 表明血清sTREM-1确实可作为早期预测VAP预后的指标。
本研究发现sTREM-1及APACHEⅡ评分均是患者28 d死亡的独立危险因素, 而PCT及CPIS评分则无法影响VAP患者预后。这一结果不难理解, 因VAP患者最终大多死于多器官功能不全而非单纯肺部感染, 故患者预后取决于APACHEⅡ评分而非CPIS评分; 此外本研究纳入大量外科术后患者, 而研究表明大手术可影响术后1~2 d PCT分泌, 从而干扰PCT对患者预后的判断[15]。这也与既往的研究相似, 如潘定康等[14]研究表明血清sTREM-1和APACHEⅡ评分是重症脓毒症患者28 d死亡的独立危险因素, 而CRP及PCT无法影响重症脓毒症患者预后。
综上所述, sTREM-1可作为VAP患者28 d预后判断的一种可靠指标, 可能有助于指导VAP的治疗。
| [1] | Davis KA. Ventilator-associated pneumonia: a review[J]. J Intensive Care Med, 2006, 21(4): 211-226. DOI:10.1177/088506660628883 |
| [2] | Cai X, Sun J, Bao L, et al. Distribution and antibiotic resistance of pathogens isolated from ventilator-associated pneumonia patients in pediatric intensive care unit[J]. World J Emerg Med, 2011, 2(2): 117-121. DOI:10.5847/wjem.j.1920-8642.2011.02.007 |
| [3] | Charles PE, Noel R, Massin F, et al. Significance of soluble triggering receptor expressed on myeloid cells-1 elevation in patients admitted to the intensive care unit with sepsis[J]. BMC Infect Dis, 2016, 16(1): 559. DOI:10.1186/s12879-016-1893-4 |
| [4] | 中华医学会重症医学分会. 呼吸机相关性肺炎诊断、预防和治疗指南(2013)[J]. 中华内科杂志, 2013, 52(6): 524-543. DOI:10.3760/cma.j.issn.0578-1426.2013.06.024 |
| [5] | Esposito S, Di Gangi M, Cardinale F, et al. Sensitivity and specificity of soluble triggering receptor expressed on myeloid cells-1, midregional proatrial natriuretic peptide and midregional proadrenomedullin for distinguishing etiology and to assess severity in community-acquired pneumonia[J]. PLoS One, 2016, 11(11): e0163262. DOI:10.1371/journal.pone.0163262 |
| [6] | Kalanuria AA, Ziai W, Mirski M. Ventilator-associated pneumonia in the ICU[J]. Crit Care, 2014, 18(2): 208. DOI:10.1186/cc13775 |
| [7] | 杨钧, 王海燕, 梁惠, 等. 重症医学科呼吸机相关性肺炎危险因素的前瞻性研究[J]. 中华急诊医学杂志, 2014, 23(11): 1239-1243. DOI:10.3760/cma.j.issn.1671-0282.2014.11.013 |
| [8] | Mehta A, Bhagat R. Preventing Ventilator-Associated Infections[J]. Clin Chest Med, 2016, 37(4): 683-692. DOI:10.1016/j.ccm.2016.07.008 |
| [9] | Larsson J, Itenov TS, Bestle MH. Risk prediction models for mortality in patients with ventilator-associated pneumonia: A systematic review and meta-analysis[J]. J Crit Care, 2016, 37: 112-118. DOI:10.1016/j.jcrc.2016.09.003 |
| [10] | Jiyong J, Tiancha H, Wei C, et al. Diagnostic value of the soluble triggering receptor expressed on myeloid cells-1 in bacterial infection: a meta-analysis[J]. Intensive Care Med, 2009, 35(4): 587-595. DOI:10.1007/s00134-008-1333-z |
| [11] | Gibot S, Cravoisy A. Soluble form of the triggering receptor expressed on myeloid cells-1 as a marker of microbial infection[J]. Clin Med Res, 2004, 2(3): 181-187. DOI:10.3121/cmr.2.3.181 |
| [12] | 周超, 沈美珠, 梁永杰, 等. 可溶性髓系细胞触发受体-1对呼吸机相关肺炎早期诊断及预后的判断价值[J]. 中国感染与化疗杂志, 2013, 13(6): 486-490. |
| [13] | 刘杜姣, 王鹿杰, 薛庆亮, 等. 血清可溶性髓样细胞触发受体-1水平在下呼吸道感染诊断中的意义[J]. 中国感染与化疗杂志, 2013, 13(1): 76-78. |
| [14] | 潘定康, 陈怿, 段鹏凯, 等. 血清可溶性髓样细胞触发受体-1对重症脓毒症患者预后判断价值[J]. 第三军医大学学报, 2016, 38(8): 845-849. DOI:10.16016/j.1000-5404.201508114 |
| [15] | Bréchot N, Hékimian G, Chastre J, et al. Procalcitonin to guide antibiotic therapy in the ICU[J]. Int J Antimicrob Agents, 2015, 46: S19-24. DOI:10.1016/j.ijantimicag.2015.10.012 |
2018, Vol. 27



