急性呼吸窘迫综合征(acute respiratory distress syndrome, ARDS)是重症医学科常见的综合征,其病理生理学改变为大量炎症因子释放,肺毛细血管通透性增高导致肺水肿,使参与通气的肺组织减少,肺顺应性降低,导致低氧血症危及生命[1]。因此早期快速判断肺水肿程度,制定相应诊疗策略显得尤为重要。目前临床上使用脉搏指示连续心排血量监测技术(pulse indicator continuous cardiac output, PiCCO)监测血管外肺水指数(extravascular lung water index, EVLWI)是评估肺水肿严重程度的常用手段[2-3],但其存在有创性、操作复杂、价格昂贵等缺点。近年来,大量基础研究表明,内皮糖萼在ARDS肺水肿中扮演着重要角色[4],本研究旨在通过检测血中内皮糖萼降解产物,了解其与炎症因子及肺水肿程度的关系,探讨联合应用多种内皮糖萼指标是否能作为判断ARDS患者肺水肿严重程度的可靠依据。
1 资料与方法 1.1 一般资料采用前瞻性研究,收集2018年7月1日至2019年12月31日收住于南京医科大学附属无锡人民医院ICU诊断符合ARDS的患者,ARDS使用2012柏林定义诊断标准。排除标准:(1)PICCO监测心指数小于2.2 L/(min·m2)或中心静脉压(central venous pressure, CVP)大于12 mmHg(1 mmHg=0.133 kPa)的患者; (2)既往存在冠心病、扩张性心肌病、心脏瓣膜病、心功能不全慢性阻塞性肺病,肺纤维化病史患者; (3)有快速房颤、室上速或其他严重心律失常患者; (4)有恶性肿瘤患者; (5)妊娠状态患者。
本研究符合医学伦理学标准,并经过南京医科大学附属无锡人民医院医学伦理委员会批准(审批号:RYSX202008),对患者采取的检测均获得患者或家属的知情同意。
1.2 分组相关研究显示,EVLWI > 10 mL/kg时,肺水肿程度和氧合情况明显恶化[5],影像学明显恶化[6],本研究以EVLWI=10 mL/kg为界限,≤10 mL/kg为轻度肺水肿组,> 10 mL/kg为重度肺水肿组。
1.3 监测指标及方法(1) PiCCO监测:患者股动脉放置PiCCO导管(PULSION公司,德国),颈内静脉或锁骨下静脉放置深静脉置管(美国箭牌,美国),测CVP,经深静脉注射15 mL冰生理盐水(低于4 ℃),连续3次监测EVLWI、心指数结果,取平均值。(2)收集PiCCO监测2 h内外周静脉血10 mL,置于含分离胶+促凝剂采血管中,3 500 r/min离心15 min,分离血清,置于-80 ℃冰箱中保存备用。通过ELISA法测定炎症因子[血肿瘤坏死因子α(tumor necrosis factor-α, TNF-α)、白细胞介素(interleukin, IL)-6、IL-10]浓度及糖萼降解产物[多配体聚糖-1(syndecan-1, SDC-1)、硫酸乙酰肝素(heparan sulphate, HS)、透明质酸(hyaluronic acid, HA)]浓度。(3)收集患者入院6 h内的心脏超声检查指标:射血分数(ejection fraction, EF)。
1.4 统计学方法采用SPSS 21.0软件进行数据分析。对计量资料进行Kolmogorov-Smirnov检验,使用F检验进行方差齐性检验。符合正态分布的以均数±标准差(x±s)表示,两组间比较应用成组t检验。各参数之间的相关性采用Pearson相关分析,绘制糖萼降解产物(SDC-1、HA、HS)与炎症指标(IL-6、IL-10、TNF-α)、EVLWI的散点图。绘制受试者工作特征曲线(receiver operating characteristic curve,ROC),计算糖萼降解产物指标对不同严重程度ARDS患者预测的阈值及效价。以P < 0.05为差异有统计学意义。
2 结果 2.1 ARDS患者的一般情况及检测指标共85名脓毒症ARDS患者入选研究。其中男性46名,女性39名,年龄为(64.4±14.0)岁。指标具体情况见表 1。
| 项目 | 结果 |
| 年龄(岁) | 64.4±14.0 |
| EF(%) | 61.12±4.83 |
| CVP(mmHg) | 7.84±1.98 |
| 心指数[L/(min·m2)] | 2.74±0.25 |
| SDC-1(μg/L) | 531.67±62.6 |
| HS(ng/mL) | 127.50±21.54 |
| HA(ng/mL) | 489.15±91.76 |
| IL-6(ng/L) | 37.07±5.20 |
| TNF-α(ng/L) | 47.40±7.70 |
| IL-10(ng/L) | 26.71±15.13 |
| EVLWI | 10.98±2.37 |
| 注:EF为射血分数,CVP为中心静脉压,SDC-1为多配体聚糖-1,HS为硫酸乙酰肝素,HA为透明质酸,IL为白介素,TNF-α为肿瘤坏死因子-α,EVLWI为血管外肺水指数 | |
Pearson相关性分析显示,SDC-1、HS、HA均与IL-6、TNF-α、EVLWI呈正相关(均P < 0.05),均与IL-10无相关性(均P > 0.05)。指标间的散点图详见图 1~3。
|
| A为SDC-1与IL-6的相关性分析; B为SDC-1与TNF-α的相关性分析; C为SDC-1与IL-10的相关性分析; D为SDC-1与ELWI的相关性分析; SDC-1为多配体聚糖-1,IL-6为白介素-6,TNF-α为肿瘤坏死因子-α,EVLWI为血管外肺水指数 图 1 SDC-1与IL-6、TNF-α、IL-10、EVLWI的相关性分析 Fig 1 Correlation analysis between SDC-1 and IL-6, TNF-α, and IL-10 |
|
|
|
| A为HS与IL-6的相关性分析; B为HS与TNF-α的相关性分析; C为HS与IL-10的相关性分析; D为HS与ELWI的相关性分析; HS为硫酸乙酰肝素,IL-6为白介素-6,TNF-α为肿瘤坏死因子-α,EVLWI为血管外肺水指数 图 2 HS与IL-6、TNF-α、IL-10、EVLWI的相关性分析 Fig 2 Correlation analysis between HS and IL-6, TNF-α, and IL-10 |
|
|
|
| A为HA与IL-6的相关性分析; B为HA与TNF-α的相关性分析; C为HA与IL-10的相关性分析; D为HA与ELWI的相关性分析; HA为透明质酸,IL-6为白介素-6,TNF-α为肿瘤坏死因子-α,EVLWI为血管外肺水指数 图 3 HA与IL-6、TNF-α、IL-10、EVLWI的相关性分析 Fig 3 Correlation analysis between HA and IL-6, TNF-α, and IL-10 |
|
|
重度肺水肿组患者的IL-6、TNF-α、SDC-1、HS、HA均高于轻度肺水肿患者,差异有统计学意义(均P < 0.05)。重度肺水肿患者的IL-10高于轻度肺水肿患者,但差异无统计学意义。见表 2。
| 指标 | 轻度肺水肿(n=39) | 重度肺水肿(n=46) | t/Z/χ2值 | P值 |
| 性别(男/女) | 20/19 | 26/20 | 0.233 | 0.629 |
| 年龄(岁) | 63.8±13.98 | 64.9±14.1 | 0.359 | 0.719 |
| IL-6(ng/L) | 33.63±3.43 | 39.99±4.64 | 7.062 | < 0.001 |
| TNF-α(ng/L) | 43.38±6.05 | 50.79±7.35 | 5.014 | < 0.001 |
| IL-10(ng/L) | 24.37±10.11 | 28.75±11.98 | 1.803 | 0.075 |
| SDC-1(ng/L) | 494.13±47.23 | 563.50±56.36 | 6.084 | < 0.001 |
| HS(ng/mL) | 114.02±18.39 | 138.93±17.02 | 6.478 | < 0.001 |
| HA(ng/mL) | 441.44±62.52 | 546.23±85.24 | 6.360 | < 0.001 |
| 注:IL为白介素,TNF-α为肿瘤坏死因子-α,SDC-1为多配体聚糖-1,HS为硫酸乙酰肝素,HA为透明质酸 | ||||
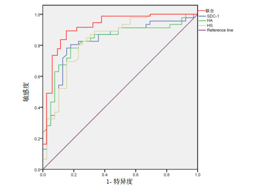
在上述结果中已经发现,血清糖萼降解产物SDC-1、HS、HA和肺水肿指标EVLWI存在着相关性,所以将血清糖萼降解产物(SDC-1、HS、HA)作为检验变量,以轻度肺水肿和重度肺水肿分组作为状态变量,绘制ROC曲线。其中SDC-1判断肺水肿的轻重程度的敏感度优于HA,特异度与HS指标相同,高于HA。而将三项指标联合应用,其判断肺水肿轻重程度的敏感性为87.5%,特异性为86.7%,明显优于任何单项指标。见表 3、图 4。
| 指标 | AUC | 95%CI | P值 | 截断值 | 敏感度(%) | 特异度(%) |
| SDC-1 | 0.826 | 0.733~0.918 | < 0.001 | 532.04 | 80.4 | 82.1 |
| HA | 0.831 | 0.741~0.921 | < 0.001 | 488.30 | 78.3 | 82.1 |
| HS | 0.836 | 0.749~0.923 | < 0.001 | 125.59 | 80.4 | 76.9 |
| 联合 | 0.928 | 0.872~1.000 | < 0.001 | - | 87.5 | 86.7 |
| 注:SDC-1为多配体聚糖-1,HA为透明质酸,HS为硫酸乙酰肝素 | ||||||
|
| SDC-1为多配体聚糖-1,HA为透明质酸,HS为硫酸乙酰肝素 图 4 血清糖萼降解产物浓度与肺水肿严重程度的ROC曲线图 Fig 4 ROC curve of serum glycocalyx degradation product concentration and the severity of pulmonary edema |
|
|
在一份来自全球数十个国家近500个ICU的多中心研究中,ICU中ARDS患者占比超过10%,重度ARDS(氧合指数 < 100 mmHg)患者病死率达到46.1%[7],严重威胁到人类的生命安全。肺泡毛细血管屏障破坏导致的血管外肺水肿是ARDS最主要的病理生理改变[8],肺水肿的程度直接反映ARDS严重程度,因此如何早期快速、精准地评估肺水肿程度对于ARDS患者的治疗显得尤为重要。
目前临床上常用PiCCO监测EVLWI,某种程度上说是评估肺水肿的“金标准”,可用于评估预后以及指导液体管理[9-11]。但其为有创操作,存在诸多潜在并发症,且价格昂贵,无法大量普及。内皮糖萼是覆盖在血管内皮上的一层绒毛状结构,其作为血管内皮的屏障在调节血管通透性方面发挥重要作用[12]。而在炎症条件下,炎症因子释放大量酶可导致糖萼受损,从而破坏血管通透性[13],出现组织水肿[14]。内皮糖萼主要成分的血清浓度,如SDC-1、HS、HA常被用来代表糖萼的降解、脱落与破坏[15-17],因此迫切地想了解内皮糖萼的代谢产物是否与ARDS患者的肺水肿程度存在紧密联系。
首先本研究发现ARDS患者的血清糖萼降解产物SDC-1、HS、HA和促炎因子IL-6、TNF-α均存在正相关,提示ARDS患者的糖萼破坏与促炎因子含量关系密切。IL-10是抗炎因子之一,在脓毒症时伴随着促炎因子而升高,本研究未观察到血清糖萼降解产物与抗炎因子的相关性。近年来的一些基础研究中发现内皮糖萼厚度减少的内皮细胞的中性粒细胞粘附增加[18],随后跨内皮进入血管外间隙,导致炎症浸润和促炎因子的级联反应,内皮细胞对蛋白质和液体的通透性增加,组织间质渗漏[19-20]。由此可见,患者的糖萼破坏和炎症反应可能互为因果并恶性循环,本研究也很好地解释了两者之间的相关性。
在三种糖萼降解产物与EVLWI的相关性分析中发现,SDC-1、HS、HA与EVLWI均存在良好的相关性,提示糖萼破坏参与了ARDS患者肺水肿的发生发展,且破坏程度越重,肺水肿程度越高。当再通过以10 mL/kg为肺水指数界值,将患者分为轻度肺水肿组和重度肺水肿组后发现,在两组中的SDC-1、HS、HA均差异存在统计学意义,重度肺水肿组的三项糖萼降解产物指标均显著高于轻度肺水肿组,再次提示了内皮糖萼降解指标与肺水肿程度密切相关。最后通过绘制ROC曲线分析发现,分别单独应用SDC-1、HS、HA预测ARDS患者重型肺水肿的敏感度和特异度均超过75%,表现良好,而将三项指标联合应用时,其敏感度和特异度均提高至85%以上,进一步证实了这三项指标在ARDS肺水肿严重程度评估方面的可靠性。
综上所述,本研究发现内皮糖萼与ARDS的炎症因子和肺水肿严重程度之间存在着较为紧密的相关性,对于病情严重程度的判断有着重要的意义。但研究中依然存在一些不足之处,如样本量还不够大,未行治疗后相关指标的追踪、比较,检测指标不够多样性。因此下一步本团队将尝试在相应治疗干预的前提下,引入更多的指标,并尝试建立评分系统,动态观察内皮糖萼指标的变化趋势。
利益冲突 所有作者声明无利益冲突
作者贡献声明 吴丁烨:研究设计、数据收集、数据整理、统计学分析、论文撰写; 高飞:统计学分析; 梁锋鸣、杨挺:数据收集,论文修改; 高嵩:研究设计、数据收集、论文修改、基金支持
| [1] | 李桂源. 病理生理学[M]. 2版. 北京: 人民卫生出版社, 2010: 365-370. |
| [2] | Kor DJ, Warner DO, Carter RE, et al. Extravascular lung water and pulmonary vascular permeability index as markers predictive of postoperative acute respiratory distress syndrome: a prospective cohort investigation[J]. Crit Care Med, 2015, 43(3): 665-673. DOI:10.1097/CCM.0000000000000765 |
| [3] | Rasch S, Schmidle P, Sancak S, et al. Increased extravascular lung water index (EVLWI) reflects rapid non-cardiogenic oedema and mortality in COVID-19 associated ARDS[J]. Sci Rep, 2021, 11(1): 11524. DOI:10.1038/s41598-021-91043-3 |
| [4] | Martin L, Koczera P, Zechendorf E, et al. The endothelial glycocalyx: new diagnostic and therapeutic approaches in sepsis[J]. Biomed Res Int, 2016, 2016: 3758278. DOI:10.1155/2016/3758278 |
| [5] | Tagami T, Sawabe M, Kushimoto S, et al. Quantitative diagnosis of diffuse alveolar damage using extravascular lung water[J]. Crit Care Med, 2013, 41(9): 2144-2150. DOI:10.1097/CCM.0b013e31828a4643 |
| [6] | 姜洪丽. 床边胸片定量分析与PiCCO监测血管外肺水评价肺水肿的比较性研究[D]. 南京: 南京大学, 2017. |
| [7] | Bellani G, Laffey JG, Pham T, et al. Epidemiology, patterns of care, and mortality for patients with acute respiratory distress syndrome in intensive care units in 50 countries[J]. JAMA, 2016, 315(8): 788-800. DOI:10.1001/jama.2016.0291 |
| [8] | Thompson BT, Chambers RC, Liu KD. Acute respiratory distress syndrome[J]. N Engl J Med, 2017, 377(6): 562-572. DOI:10.1056/nejmra1608077 |
| [9] | 李双凤, 高延秋, 李晓燕, 等. EVLWI、sICAM-1和KL-6联合检测在重症肺炎ARDS患者预后评估中的价值[J]. 中华急诊医学杂志, 2021, 30(6): 730-736. DOI:10.3760/cma.j.issn.1671-0282.2021.06.016 |
| [10] | 黄昭, 陈裕胜, 杨自力, 等. 血管外肺水指标在脓毒症合并急性肺损伤/急性呼吸窘迫综合征患者中的作用[J]. 中华急诊医学杂志, 2012, 21(3): 244-248. DOI:10.3760/cma.j.issn.1671-0282.2012.03.004 |
| [11] | 傅水桥, 崔巍, 骆晓倩. 血管外肺水指数在脓毒症相关性ALI/ARDS患者液体管理中的意义[J]. 中华急诊医学杂志, 2010, 19(11): 1193-1196. DOI:10.3760/cma.j.issn.1671-0282.2010.11.020 |
| [12] | Foote CA, Soares RN, Ramirez-Perez FI, et al. Endothelial glycocalyx[J]. Compr Physiol, 2022, 12(4): 3781-3811. DOI:10.1002/cphy.c210029 |
| [13] | Delgadillo LF, Lomakina EB, Kuebel J, et al. Changes in endothelial glycocalyx layer protective ability after inflammatory stimulus[J]. Am J Physiol Cell Physiol, 2021, 320(2): C216-C224. DOI:10.1152/ajpcell.00259.2020 |
| [14] | Betteridge KB, Arkill KP, Neal CR, et al. Sialic acids regulate microvessel permeability, revealed by novel in vivo studies of endothelial glycocalyx structure and function[J]. J Physiol, 2017, 595(15): 5015-5035. DOI:10.1113/JP274167 |
| [15] | Shaw KE, Bersenas AM, Bateman SW, et al. Use of serum hyaluronic acid as a biomarker of endothelial glycocalyx degradation in dogs with septic peritonitis[J]. Am J Vet Res, 2021, 82(7): 566-573. DOI:10.2460/ajvr.82.7.566 |
| [16] | Dogné S, Flamion B. Endothelial glycocalyx impairment in disease: focus on hyaluronan shedding[J]. Am J Pathol, 2020, 190(4): 768-780. DOI:10.1016/j.ajpath.2019.11.016 |
| [17] | Smart L, Bosio E, MacDonald SPJ, et al. Glycocalyx biomarker syndecan-1 is a stronger predictor of respiratory failure in patients with sepsis due to pneumonia, compared to endocan[J]. J Crit Care, 2018, 47: 93-98. DOI:10.1016/j.jcrc.2018.06.015 |
| [18] | Delgadillo LF, Marsh GA, Waugh RE. Endothelial glycocalyx layer properties and its ability to limit leukocyte adhesion[J]. Biophys J, 2020, 118(7): 1564-1575. DOI:10.1016/j.bpj.2020.02.010 |
| [19] | Colbert JF, Schmidt EP. Endothelial and microcirculatory function and dysfunction in sepsis[J]. Clin Chest Med, 2016, 37(2): 263-275. DOI:10.1016/j.ccm.2016.01.009 |
| [20] | Cancel LM, Ebong EE, Mensah S, et al. Endothelial glycocalyx, apoptosis and inflammation in an atherosclerotic mouse model[J]. Atherosclerosis, 2016, 252: 136-146. DOI:10.1016/j.atherosclerosis.2016.07.930 |
2023, Vol. 32



